Physics 포스팅
Doyeon0430 | 2023년 10월 07일
이번시간에는 선형대수학에 전치행렬, 항등행렬, 역행렬의 개념을 알아보겠습니다.
선형대수학은 수학의 한 분야로 전치행렬, 항등행렬, 역행렬은 핵심적인 개념 중 하나입니다.
그럼 지금부터 포스팅을 시작합니다.
전치행렬은 주어진 행렬의 행과 열을 서로 바꾼 새로운 행렬입니다.
기본적으로 대각선은 행과 열이 똑같아서 안바뀌며 아래와 같이 정의합니다.
.jpg)
전치행렬에는 다양한 성질이 있습니다.
행렬 A와 B는 동일한 크기를 가정해서 다음 성질이 성립딥니다.
참고로 k는 스칼라입니다.
.jpg)
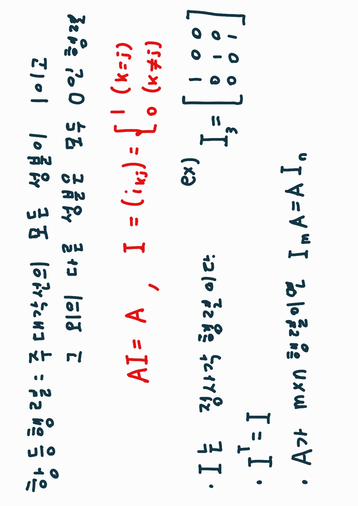
항등행렬은 정사각행렬에 대한 특별한 성질의 행렬입니다.
주대각선의 모든 성분이 1로 채워지며 나머지 성분들은 모두 0인 행렬입니다.
.jpg)
2x2, 3x3, 4x4와 같이 다양한 크기들은 I2, I3, I4와 같이 표기합니다.
역행렬은 정사각행렬 A에 대해 A와 곱했을 때 항등행렬이 되는 행렬을 의미합니다.
즉 AA-1 = I가 성립하며 A-1 = B로 나타낼 수 있습니다.
.jpg)
정사각행렬 A에 대하여 다음을 만족하는 동일한 크기의 정사각행렬 B가 존재하면
행렬 A를 가역행렬이나 비특이행렬이라고 합니다.
그리고 행렬 B는 행렬 A의 역행렬입니다.
만약 정사각행렬 A에 대하여 AB=BA=I를 만족하는 행렬 B가 존재하지 않으면
행렬 A를 비가역행렬이나 특이행렬이라고 합니다.
역행렬에 다양한 성질을 알아보겠습니다.
.jpg)
댓글 (0)
간편 댓글 작성